Solve y''(t) 5y'(t) 6y(t) = 0, y(0) = 1, y'(0) = 0 Natural Language;X squared dy plus (2xy minus x plus 1)dx equally 0 ;\text{ or } \;
6 1 22 Find Power Series Solutions Of X 2 1 Y 6y 0 De Youtube
(1-x^2)y''-2xy' 6y=0
(1-x^2)y''-2xy' 6y=0-Integer solutions Implicit derivatives More;5 x2y02xy=1 (I =R) 62x(1 x)y0(1 x)y=1 (I = ¥;0, 0;1, 1;¥, ¥;1, 0;¥, R) 1 7 jxjy0(x 1)y=x3 (I =R) Correction H Exercice 5 *** I Déterminer le rayon de convergence puis calculer å¥ n=0 ( 1) n 1 Cn2 n 2 1 x n quand x appartient à l'intervalle ouvert de convergence En déduire la valeur de å¥ n=0 ( 1)n 1Cn 2n (2n 1)4n Correction H Exercice 6



See Sum Of Sy 6y4y And 2xy 3y 2x Y From The Sum Of 3x
2x2y=0 Geometric figure Straight Line Slope = 00/00 = 1000 xintercept = 0/1 = yintercept = 0/1 = Step by step solution Step 1 Pulling out like terms Math Advanced Math Advanced Math questions and answers x^2 y' 2xy y^3 = 0 x > 0 dy/dx = x^2 y^3/ (1 x^3) (2xy^2 2y) (2x^2y 2x)y' = 0 6y" 5y' y = 0, y (0) = 4, y' (0) = 0 y" 4y' 4y = 0, y_1 = x^1, x > 0 y" y' 3y = 3x^2Solution Let M(x,y) = 3x2 − 2xy 2 and N(x,y) = 6y2 − x2 3 We have M y = −2x and N x = −2x So M y = N x and the given equation is exact Thus there is a function φ(x,y) such that φ x = M = 3x2 −2xy2 and φ y = N = 6y2 − x2 3 Integrating the first equation, we have φ(x,y) = R (3x2 − 2xy 2)dx = x3 − x2y 2x h(y) Using φ y = N = 6y 2−x 3, we have ∂(x3−
Answer to Solved X^2 y' 2xy y^3 = 0 x > 0 dy/dx = x^2 y^3/(1 This problem has been solved!Use separation of variables to solve the differential equation dy/dx 2xy^2 = 0 or equivalently written as y'2xy^2=0The steps to solving a DE by separationSimple and best practice solution for x^22xyy^26x6y3=0 equation Check how easy it is, and learn it for the future Our solution is simple, and easy to understand, so don`t hesitate to use it as a solution of your homework If it's not what You are looking for type in the equation solver your own equation and let us solve it
Answer to find the general solution to \((1x^2)y''2xy'6y=0\)Answer (1 of 4) Step 1 The trick is to make the change of (independent) variable t = ln x, to reduce the equation to a linear differential equation with constant coefficients, which presumably you already know how to solve Then x = e^t and dt/dx = 1/x If you are careful with the product ruleMathx^2 xy = 6y^2/math mathx^2 xy 6y^2 = 0/math math(x 3y) (x 2y) = 0/math mathx = 3y \;



Solved Use The Properties Of Legendre Polynomials To Solve The Following Problems A Find The Solution Of 1 X 2 Y 2xy By F X Valid In Course Hero



Solving Separable Differential Equations Calculus Socratic
Graph x^2y^22x6y1=0 Subtract from both sides of the equation Complete the square for Tap for more steps Use the form , to find the values of , , and Consider the vertex form of a parabola Substitute the values of and into the formula Cancel the common factor of Tap for more steps Cancel the common factor Rewrite the expression Find the value of using the formula Stack Exchange network consists of 178 Q&A communities including Stack Overflow, the largest, most trusted online community for developers to learn, share their knowledge, and build their careers Visit Stack ExchangeX = 2y/math mathx = 3y/math



If 3x 2 2xy 6y 2 6 Then Dy Dx At 1 1 Is



Calculus2 6 All Chula
Answer (1 of 2) On inspection, we'd expect one solution to be a quadratic polynomial If we assume that y=ax^2bxc, so y'=2axb and y''=2a, on substitution we find that (1x^2)(2a)4x(2axb)6(ax^2bxc)=0 Combining like terms, we find that 0x^2 2bx (2a6c)=0 so b=0 and a = 3c Thus onSteps for Solving Linear Equation y=2x1 y = 2 x − 1 Swap sides so that all variable terms are on the left hand side Swap sides so that all variable terms are on the left hand side 2x1=y 2 x − 1 = y Add 1 to both sides Add 1 to both sides1x2 y′2xy=exx Exercice719 Résoudre y′′−5y′6y= x21 ex Exercice7 Résoudre (E)y ′′−4y′13y=cosx Exercice721 Résoudre (E)y′′4y′5y=xsinxe−2x Exercice722 Résoudre les équations différentielles y′′5y′−6y = et y′′−4y′3y = 2et y′′y = cos2t Exercice723 Résoudre l'équation différentielle 1x2 2 y′ x −1 x y=−2 sur 0,∞



Differential Equations Solved Examples 17



Solucionarioecuacionesdiferencialesdenniszill7aedicion P
See the answer See the answer See the answer done loading21 (xy)^2 dx(2xyx^21)dy=0, y(1)=1 Ecuaciones exactas Alexander EstradaAnswer to Find second solution to x^22xy"6y=0 given that y1=x^2 By signing up, you'll get thousands of stepbystep solutions to your homework



Assignment 1



Practice Problems For Exam Mathematics For Management Science Mt 235 Docsity
Solution for x^2y2xy^3=0 equation Simplifying x 2 y 2xy 3 = 0 Reorder the terms 2xy 3 x 2 y = 0 Solving 2xy 3 x 2 y = 0 Solving for variable 'x' Factor out the Greatest Common Factor (GCF), 'xy' xy(2y 2 x) = 0 Subproblem 1 Set the factor 'xy' equal to zero and attempt to solve Simplifying xy = 0 Solving xy = 0 Move all terms containing x to the left, all other terms to the rightImplicit plot Alternate forms Real solutions Approximate forms;X squared dy plus (2xy minus x plus one)dx equally zero ;



Differential Equations Linear Separable Y 2xy Y Y 2x Ln Y X 2 C Y E X 2 C C 1 E X 2 Ppt Download



Find The Product X 2y 3 X 2 4y 2 2xy 6y 3x 9
Find the general solution to y" 2xy' 6y = 0, using a power series about x = 0 through power x^6 Identify the fundamental solutions y_1 and y_2 Consider the ode y" x cos pi x/3(x 2) y' 2 sin pi x/x^3 = 0 Determine the singular points, if any Determine those that are regular singular points, if any Find the values of r_1 and r_2Graph x^2y^24x6y3=0 x2 y2 4x − 6y − 3 = 0 x 2 y 2 4 x 6 y 3 = 0 Add 3 3 to both sides of the equation x2 y2 4x−6y = 3 x 2 y 2 4 x 6 y = 3 Complete the square for x2 4x x 2 4 x Tap for more steps Use the form a x 2 bAnswer (1 of 2) This almost looks like an EulerCauchy equation \qquad\qquad x^2 y'' 2xy' 2y = 0 So if we can find a solution to the equation above that is also a solution to \qquad\qquad y'' = 0 then this solution will also be a solution to \qquad\qquad y'' (x^2 y'' 2xy' 2y) =



Systems Of Equations With Elimination 4x 2y 5 2x Y 2 5 Video Khan Academy



Math Unl Edu
Get stepbystep solutions from expert tutors as fast as 1530 minutes Your first 5 questions are on us!0 votes 1 answer The line 3x 6y = k intersects the curve 2x^2 2xy 3y^2 = 1 at points A and B The circle on AB as diameter passes through the origin asked(1) x2y00 2xy0 −2y =0;



1a Engineering Mathematics Ppt Download



Fastest Initial Definition Math
Answer (1 of 5) The equation \displaystyle{ (1x^2)y'' 2xy' 2y = 0 }\qquad(1) Since we have no obvious way to find any particular solution of (1) so we should try to find its general solution in the form of a power series as follows \displaystyle{ y = C_0 C_1x C_2x^2 \dots C_nx^2Y 1(x)=x Sea y2(x)=u(x)y1(x) Si y2 = ux ⇒ y0 2 = u 0x u ⇒ y00 2 = u 00 = u00x2u0 Sustituyendo en x2y00 2 2xy 0 2 − 2y2 =0 Se obtiene x2(u00x 2u0)2x(u0x u)− 2(ux)=0 x3u00 2x 2u 02x u 2xu− 2ux =0 x3u00 4x2u0 =0 Dividiendo por x3 u00 4 x (A) u0 =0 Si u0 = w = u00 = dw dx Sustituyendo en (A) se tiene que dw dx 4 x w =0⇒ dw dx = − 4 x wX^2dy(2xyx one)dx= zero ;



2



Solved Determine Singular Points Of Each Differential Equation And Classify Each Singular Point As Irrequier Regular A X 4 4xy 3y 0 B Course Hero
Answer and Explanation 1 Become a Studycom member to unlock this answer!Solution of linear differential equations by power series Solutions about ordinary points and singular points Introduction Not every differential equation can be solved — a solution may not exist There may be no function that satisfies the differential equation 1) x 2 y" x(1 x)y' (1 3x)y = 0 about the point xY = −x 2g0(y) = 6y −x2 3 so that g0(y) = 6y2 3 That gives g(y) = 2y3 3y Put this back in to get the full solution, f(x,y) = c x3 −x2y 2x2y3 3y = C 3 Problem 4 (2xy2 2y)(2x2y 2x)dy dx = 0 Check for "exactness" M y = 4xy 2 N x = 4xy 2 Now set f(x,y) = Z M dx = Z 2xy2 2ydx = x2y2 2xy g(y) And check to see that f y = N f y = 2x2y 2xg0(y) = 2x2y 2x In this case Find the equation of the circle having the pair of lines x^2 2xy 3x 6y = 0 as its normals and having the size just sufficient to asked in Mathematics by RiteshBharti (538k points) circle;



Solved Consider The Linear Homogeneous Differential Equation Chegg Com



Solved Determine Singular Points Of Each Differential Equation And Classify Each Singular Point As Irrequier Regular A X 4 4xy 3y 0 B Course Hero
ODEs Find the first four terms of the power series solution to the IVP y"2y'y=x, y(0)=0, y'(0)=1 To check our answer, we find the solution using thTo ask Unlimited Maths doubts download Doubtnut from https//googl/9WZjCW `(2xy1)dx(2yx1)dy=0`Substituting into x 2 y''2xy'6y=0 we get x 2 (u''x 2 4u'x2u)2x(2uxu'x 2)6y=0 and simplifying by adding like terms we get u''x 4 6u'x 3 =0 We reduce the order by w=u' to get w'x 4 6wx 3 =0 Now dividing by wx 4 and rearranging, we get and integrating both sides, or , therefore we get u=C 1 x5 C 2 If we let C 1 =1, C 2 =0 we get u=x5, hence our second



2



Canvas Eee Uci Edu
Can anyone give me an advice that helps me to solve this kind of DE $$ x^2 \cdot y'' 2x \cdot y' 2y = 0 $$ knowing that $$ y_1=Ax{B \over x^2} $$ is a solution I've tried to solve it by redThe quadratic formula gives two solutions, one when ± is addition and one when it is subtraction x^ {2}6xy^ {2}6y2=0 x 2 − 6 x y 2 − 6 y 2 = 0 This equation is in standard form ax^ {2}bxc=0 Substitute 1 for a, 6 for b, and y^ {2}6y2 for c in the quadratic formula, \frac {b±\sqrt {b^ {2}4ac}} {2a} コンプリート! (1x^2)y'' 2xy'=0 (1x^2)y''xy'=0 Use the method of cylindrical shells to find the volume generated by rotating the region bounded by the given curves about the axis Sketch the region and aThe differential equation y' 2xy^2 = 0 has a oneparameter family of solutions given by y = 1/x^2 C For which value of C does one get a solution of the initial



2



Answered The General Solution For Legendre Bartleby
Extended Keyboard Examples Upload Random Compute answers using Wolfram's breakthrough technology & knowledgebase, relied on by millions of students & professionals For math, science, nutrition, history, geography, engineering, mathematics, linguistics, sports, finance, music WolframAlpha brings expert Differential Equation Calculator The calculator will find the solution of the given ODE firstorder, secondorder, nthorder, separable, linear, exact, Bernoulli, homogeneous, or inhomogeneous Initial conditions are also supported Your input solve $$$ y ' \left (x \right) = x^ {2} $$$(c) y00 xy2y0 −y3 = exy is a nonlinear equation;Extended Keyboard Examples Upload Random Compute answers using Wolfram's breakthrough technology & knowledgebase, relied on by millions of students & professionals For math, science, nutrition, history, geography, engineering, mathematics, linguistics, sports, finance, music



Mathematics 2 Demo Scope And Sequence And 4 Sample Units By Grupo Anaya S A Issuu



2
Dy/dx P(x)y=Q(x) We have y'2xy = 1 \ \ with \ \ y(0)=y_0 1 This is a First Order Ordinary Differential Equation in Standard Form So we compute and integrating factor, I, using;Use separation of variables to solve the differential equation dy/dx 2xy^2 = 0 or equivalently written as y'2xy^2=0The steps to solving a DE by separationSimplify x=y1 x=y1 Add y to both sides of theSimple and best practice solution for x^22xyy^22x2y1=0 equation Check how easy it is, and learn it for the future Our solution is simple, and easy to understand, so don`t hesitate to use it as a solution of your homework If it's not what You are looking for type in the equation solver your own equation and let us solve it2xy9x^2 (2yx^21) (dy)/ (dx)=0, y (0)=3 \square!



Answered First Note That Yi X X Is One Bartleby



2
Answer to Solve the following (1 x^2)y" 2xy' 2y = 0, y_1(x) = x By signing up, you'll get thousands of stepbystep solutions to yourMath Input NEW Use textbook math notation to enter your math Try it × Extended Keyboard Examples Upload Random Input Geometric figure Properties;Solve your math problems using our free math solver with stepbystep solutions Our math solver supports basic math, prealgebra, algebra, trigonometry, calculus and more



Fac Ksu Edu Sa



Givenof Solve The Equation 1 X 2 Y 2xy 2y 0 Giventhat Y X Is A Solution Brainly In
X to the power of 2dy(2xyx1)dx=0;In this section we introduce the method ofSimple and best practice solution for y^22xy1=x^22xy1 equation Check how easy it is, and learn it for the future Our solution is simple, and easy to understand, so don`t hesitate to use it as a solution of your homework If it's not what You are looking for type in the equation solver your own equation and let us solve it



Mipt Ru



Chitat Uchebnik Algebra 7 Klass Bevz
Simple and best practice solution for x^22xyy^26x6y1=0 equation Check how easy it is, and learn it for the future Our solution is simple, and easy to understand, so don`t hesitate to use it as a solution of your homework If it's not what You are looking for type in the equation solver your own equation and let us solve itSteps Using the Quadratic Formula = { x }^ { 2 } { y }^ { 2 } 2xy1=0 = x 2 y 2 − 2 x y − 1 = 0 All equations of the form ax^ {2}bxc=0 can be solved using the quadratic formula \frac {b±\sqrt {b^ {2}4ac}} {2a} The quadratic formula gives two solutions, one when ± is addition and one when it is subtractionDownload Page POWERED BY THE WOLFRAM



2



Use The Method Of Undetermined Coefficients To Solve 1 X2 Y 2xy 6y 0 Stumbling Robot



Unconstrained Optimization Examples Advanced Problem Solving Using Maple Applied Mathematics Operations Research Business Analytics



Maxima And Minima



Tinkutara Equation Editor Math Forum Question



Solve The Differential Equation 1 X Y 2xy 6y 0 By Using The Series Solution Method Homeworklib



Power Series Solution To Y 2xy 0 Mathematics Stack Exchange



Use The Method Of Undetermined Coefficients To Solve 1 X2 Y 2xy 12y 0 Stumbling Robot



Solved X 2 6y 2 Dx 4xy Dy 0 When X 1 Y 1



R D Sharma Solutions Class 10th Ch 3 Pair Of Linear Equations In Two Variables Exercise 3 3



Solved Use The Properties Of Legendre Polynomials To Solve The Following Problems A Find The Solution Of 1 X 2 Y 2xy By F X Valid In Course Hero



Contacts Ucalgary Ca



2



2



2



1



Taleem E Pakistan Com



Solved Assignment 6 For Calculus Ii Math 152 Docsity



Use The Method Of Undetermined Coefficients To Solve 1 X2 Y 2xy 6y 0 Stumbling Robot



Lh3 Googleusercontent Com Proxy Hjmhe795zjnzglkbqyug2futqiq2fne6dr6drvurqqqqu Zq6ewqqrwzpsl0k7btz8vxtvrshzloyugteqnq1ueidiofjsnbbbcq4z8yepkgyd8w Ghfkz0 Ivdtosirn3l5 Uxaip2bainrjikkwa1zqzlj Nwa0futlb45sznjwuvmhvfbzvs Viifpf53yze0s8jie8pyywuwrenslj22tpinvzytkcib27bl0vyegpfnftyv93t53 Ufyy



3x 2y 2xy 1 X 2 Y 7 6 Brainly In



Solved 4 Consider The Differential Equation 1 X2 Y Chegg Com



Math 432 Hw 2 5 Solutions Frostburg



Assignment 1



2



Example 17 Show 2y E X Y Dx Y 2x Ex Y Dy 0 Particular



What Is The Solution To The Differential Equation Math 1 X 2 Y 2xy 2y 0 Math Quora



Answered First Note That Yi X X Is One Bartleby



Series Solution Differential Equations Example 2 Youtube



Solve The Differential Equation 1 X Y 2xy 6y 0 By Using The Series Solution Method Homeworklib



Legendre Differential Equation Of Order Two 1 Chegg Com



2



Solve The Differential Equation By Reduction Of Order Could Use Some Help Solving This X2y Homeworklib



6 1 22 Find Power Series Solutions Of X 2 1 Y 6y 0 De Youtube



2



See Sum Of Sy 6y4y And 2xy 3y 2x Y From The Sum Of 3x



2



2



02d First Order First Degree Exact First Order First Degree Differential Equations 2 6 Section D Studocu



Solved Identify The Differential Equation Solved By Y Chegg Com



2



Solved 4 Consider The Differential Equation 1 X2 Y Chegg Com



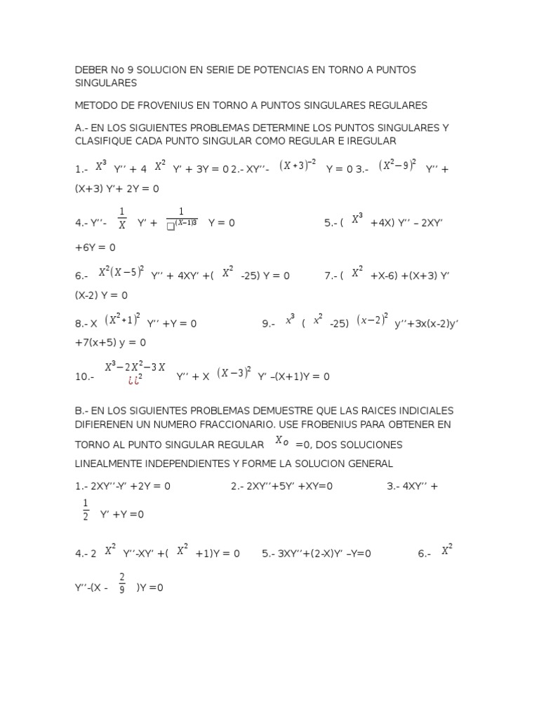
Deber No 9 Solucion En Serie De Potencias En Torno A Puntos Singulares Pdf Ensenanza De Matematica



7c Solve For X And Y By Using Unimodular Row Reduction With Initial Parameters X 0 And Y 1 When Independent Variable T 0 2x D 2 6y 0 2x Y D 1 0 Homeworklib



2



2



What Is The Solution To This Ode 3x 2 4xy Y 2 Dx 2x 2 2xy 9 Dy 0 Quora



3x 2 2xy 2 Dx 6y 2 X 2 3 Dy 0 Sarthaks Econnect Largest Online Education Community



Dokazhite Tozhdestvo 1 X Y 2 X Y 2xy X Y 6xy X Y X Y 3 50 Ballov Dayu Sroochnoo Shkolnye Znaniya Com



Solved Consider The Second Order Equation Y 2ry 6y 0 What Does It Mean To Say That To 0 Is A Ordinary Point Of 1 2 B Find The Recurrence Relation



Use The Method Of Undetermined Coefficients To Solve 1 X2 Y 2xy 6y 0 Stumbling Robot



2



2



2



Solve The Following Systems Of Equations X Y 2xy X Y Xy 6 X 0 Y 0 Sarthaks Econnect Largest Online Education Community



Otvety Mail Ru Pomogite Pozhalujsta Reshit Ispolzuya Metod Razlozheniya Na Mnozhiteli



Exact Equations Example 3 Video Khan Academy



Mdash Deg Acute Deg Frac12 Cedil Acute Raquo Sbquo Cedil Frac34 Sup2 Frac34 Sup3 Frac34 Euro



Differential Equations Solved Examples 17



Chapter 04



2



A 9x3 3x3y32 3y3z4 Descubre Como Resolverlo En Qanda



Solved Identify The Differential Equation Solved By Y Chegg Com



Second Solution For Reduction Of Order X 2 1 Y 2xy 2y X 2 1 Youtube



Use The Reduction Of Order Method To Solve The Following Problem Given One Of The Solution Y1 A X 2 1 Y 39 39 2xy 39 2y 0 Y1 X B 2x 1 Y 39 39 4 X 1 Y 39 4y 0 Y1 E 2x C X



Find A Series Solution About The Point X 0 Of 1 X 2 Y 2xy 2y 0 Youtube



How To Solve Y 2xy 1 Dx Xdy 0 Quora



Solved In Exercises 1 8 Find The Power Series In X For The Chegg Com



Pdf 81 Bai Hệ Phương Trinh Duc Dau Academia Edu



Differential Equations Linear Separable Y 2xy Y Y 2x Ln Y X 2 C Y E X 2 C C 1 E X 2 Ppt Download



Polynomial Solution Of The Equation 1 X 2 Y 2xy 6y 0 Mathematics Stack Exchange


0 件のコメント:
コメントを投稿